| 0 |
|
С каждым днём все больше устройств подключаются в сеть для сбора, отправки и получения данных. Примеры по-настоящему масштабных реализаций Интернета Вещей (IoT) пока ещё редки, однако вскоре они могут получить широкое распространение. Это создаст значительные риски для предприятий и государственных служб, поскольку злоумышленники смогут атаковать не только компьютеры и смартфоны, но и множество других устройств, таких как планшеты, умные часы, системы умного дома, транспортные системы и так далее.
Поставив перед собой задачу минимизировать эти новые риски, двое исследователей из китайского Университета наук и искусств недавно разработали метод защиты устройств среды IoT от нападений через беспроводные сети.
Об этом решении, комбинирующем нейронные сети глубокого обучения с моделью теории игр, рассказывается в статье, которая была опубликована в International Journal of Wireless Information Networks издательства Springer.
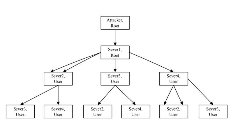
Приступая к работе их алгоритм на основании информации о топологии и уязвимости сети строит карту всех возможных путей атаки и защиты. Затем он высчитывает вероятность успеха каждого из этих «путей атаки», индексы опасности и применимости различных атак, а также стратегии защиты, используемые при достижении сетью определенных состояний безопасности.
Помимо того, взаимодействие между атакой и защитой абстрагируется в некооперативную, ненулевую и гибридную модель теории игр, применимую к задачам, связанным с соперничеством между несколькими игроками, в том числе к проблемам нападения и защиты.
Такая оптимальная модель нападения и защиты включает в себя меры по предотвращению и контролю уязвимых точек. Нечеткая система затем количественно оценивает фактор риска информационной безопасности и передаёт его в нейронную сеть с радиальной базисной функцией (RBF). Для обучения нейросети исследователи использовали оптимизационный алгоритм роя частиц.
В конечном итоге все эти шаги позволили получить оптимизированную модель защиты. Она хорошо показала себя в серии проверочных симуляций: средняя ошибка не превышала 2%.
Стратегія охолодження ЦОД для епохи AI
| 0 |
|

